聚维酮碘
化学名称:聚维酮碘
代号:PVP-I
CTFA名称:PVP-Iodine
CAS No:25655-41-8
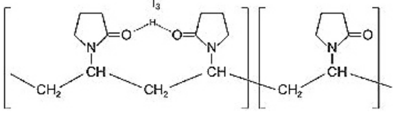
分子式: (C6H9ONI2)n.XI
分子结构式:

性状:PVP-I是PVP与碘的络合物,对细菌、病毒、真菌、霉菌、孢子都有较强的杀灭作用,稳定、无 刺激、完全水溶。
质量标准:
| USP26/CP2005 | USP30 | |
| 外观 | 红棕色或黄棕色无定性粉末 | 红棕色或黄棕色无定性粉末 |
| 有效碘 % | 9.0~12.0 | 9.0~12.0 |
| 碘离子 % | ≤6.6 | ≤6.6 |
| 重金属 ppm | ≤20 | ≤20 |
| 灼烧残渣 % | ≤0.1 | ≤0.025 |
| 氮含量 % | 9.5~11.5 | 9.5~11.5 |
| pH 值 (10% 水溶液 ) | 1.5~5.0 | 1.5~5.0 |
| 干燥失重 % | ≤8.0 | ≤8.0 |
应用:主要用于医院手术、注射等皮肤消毒和器械消毒,杀菌灭菌,外科、皮肤科等预防感染;家庭食具、器具等杀菌消毒;食品工业、养殖业用于杀菌消毒及动物疾病防治等,该产品是发达的含碘杀菌剂及卫生防疫消毒剂,符合CP2005,USP26和EP版标准。
在线留言