Povidone iodine
CHEMICAL NAME:Povidone iodine
CODE NAME: PVP-I
CTFA NAME:PVP-Iodine
CAS No:25655-41-8
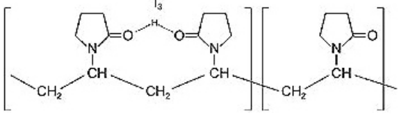
MOLECULAR FORMULA: (C6H9ONI2)n.XI
Chemical structural formula:

Properties:PVP-I is a PVP-iodine complexes, bacteria, viruses, fungi, molds, spores are killing effect of strong, stable, no irritation, completely water solubl
Quality specification
| USP26/CP2005 | USP30 | |
| Appearance | Yellowish-brown or reddish-brown | Yellowish-brown or reddish-brown |
| Available iodine % | 9.0~12.0 | 9.0~12.0 |
| Iodine ion % | ≤6.6 | ≤6.6 |
| Heavy metals ppm | ≤20 | ≤20 |
| Residue on ignition % | ≤0.1 | ≤0.025 |
| Nitrogen content % | 9.5~11.5 | 9.5~11.5 |
| PH (10% in aqueous solution ) | 1.5~5.0 | 1.5~5.0 |
| Loss on drying % | ≤8.0 | ≤8.0 |
Application: Mainly used for hospital disinfection and sterilization of instruments such as surgery, injections, sterilization and sterilization, infection prevention, such as surgery, Dermatology; household utensils, appliances such as sterilization; for disinfection of food industry, breeding and animal disease control, the product is iodine-containing fungicides and epidemic prevention disinfectants of choice in the developed countries, in line with standard version CP2005,USP26 and EP.